Vad är Gordons formel / evighetsvärdet?
Gordons formel används främst för att beräkna evighetsvärdet i en DCF modell. I en DCF modell så kan man endast progonosticera kassaflödet med rimlig säkerhet för kanske tre till fem år framåt i tiden. Därefter brukar man använda sig av Gordon för att få fram ett värde på framtida kassaflöden i evigheten, evighetsvärdet. Det är egentligen en väldigt simpel värderingsmetod av/för ett företag
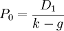
Formeln ser ut enligt nedan:
![]()
P= Evighetsvärdet som adderas till DCF modellen, alltså summan av de framtida kassaflöden in i evigheten.
D= Fritt kassaflöde för det första året som vi inte har en prognos. Alltså, vi vet år 1 tom 5 års prognoser på kassaflödet. År 6 utgår vi från år fems prognos och använder alltså samma värde. (fritt kassaflöde är samma som utdelning som vissa menar att Gordons formel handlar om. Det är sant, ett fritt kassaflöde kan man göra vad man vill med, dela ut, t.ex.)
k = Kapitalkostnad, enligt WACC beräkning
g = Tillväxttal, oftast samma som BNP tillväxten i tex. Sverige. Ett rimligt tal är mellan 2,5 och 3%
Ett exempel
Ett företag prognostiserar ett fritt kassaflöde på 100. BNP tillväxten är beräknat till 3% och WACC, den vägda kapitalkostnaden är beräknad till 13%. Företagets värde är då 1000. Detta genom: Värdet = ((100/(0,13-0,03)) = 1000. As simple as that!
Läs mer om företagsvärdering
Var det här svaret till hjälp?
Företagsvärdering
Vet du vad ditt företag är värt? Eller har du behov av att kontrollera värdet på ett annat företag? Vi hjälper dig!
Köp Företagsvärdering